欢迎访问贵州大学资源与环境工程学院!
贵州大学
管理入口
首页
学院概况
党建思政
师资队伍
学科平台
本科生教育
研究生教育
科学研究
实验中心
校友专栏
三全育人
下载专区
首页
研究生教育
研究生招生
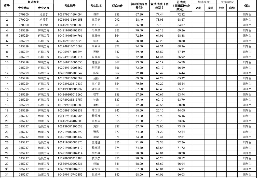
资源与环境工程学院2019年硕士研究生第二轮招生复试成绩公示
发布时间:2019-04-11
浏览次数:
3818
万象城网页版-万象城(中国)官方
|
开云app官方在线入口_开云(中国)
|
开云app官方在线入口_开云(中国)
|
开云手机入口-开云online(中国)
|
博鱼平台-博鱼(中国)一站式服务平台
|
博鱼平台-博鱼(中国)一站式服务平台
|
开云手机web版登录入口-开云online(中国)
|
开云手机入口-开云(中国)
|
华体网页版页面登录_华体(中国)
|